Jurassic lacustrine system (Cañadón Asfalto Formation)
from Patagonia, Argentina
Oscar F. Gallego1, Iracema A. Zacarías1, Hugo G. Barrios Calathaki1
1 Centro de Ecología Aplicada del Litoral (CECOAL CONICET UNNE) y Departamento de Biología, FaCENA, Universidad Nacional del Nordeste, Ruta Provincial N°5, Km 2,5, 3400 Corrientes, Argentina.
monfdm@gmail.com, ofgallego@live.com.ar, iracemaz@gmail.com, hgbcalathaki@gmail.com
2 Instituto de Geocronología y Geología Isotópica (INGEIS-CONICET-UBA), Universidad de Buenos Aires, Ciudad Universitaria, C1428EHA, Buenos Aires, Argentina.
cabaleri@ingeis.uba.ar, armella@ingeis.uba.ar
3 Facultad de Ciencias, Universidad de la República, Iguá 4225, 11400 Montevideo, Uruguay.
smart@fcien.edu.uy
* Corresponding author: monfdm@gmail.com
At the moment, two freshwater bivalve species were described for the continental Jurassic of Patagonia: Diplodon simplex Morton and Diplodon matildensis Morton from La Matilde Formation of the Santa Cruz province. The Cañadón Asfalto Formation located in Chubut province exhibits a high diverse invertebrate fossil fauna preserved mainly in lacustrine facies, which includes clam shrimps, bivalves, gastropods, ostracods and insects. However, few studies have been carried out on freshwater bivalve of this geological unit. In this work, a morphological description of bivalve assemblage and paleoenvironment analysis from the Cañadón Asfalto Formation was performed. Forty samples were collected from three stratigraphic levels at the Cañadón Asfalto locality. These levels are ash fall tuffs rich in glass particles accumulated in a lacustrine system with development of microbial activity. Morphological analyzes of outline and sizes were performed at each level. Our results showing the smallest-sized association of unionids recorded for the Jurassic time with size ranging from 7.6-11.7 mm long and 5.2-7.6 mm high. The environmental influence of pyroclastic falls could have played an important role in the development of the sizes of populations and shells.
Keywords: Paleoenvironment, Bivalves, Unionids, Jurassic.
1. Introduction
Freshwater mollusks are habitual members of the paleofauna from Triassic-Jurassic continental sequences all over the world; they have been studied in several deposits such as in China (Pan and Sha, 2009), Africa (Van Damme et al., 2015), South America (Frengüelli, 1945; Martínez and Figueiras, 1991; Martínez et al., 1993; Morton and Herbst, 2001), USA (Good, 1993, 2004) and Europe (Hendry et al., 2001; Delvene et al., 2013). However, they are poorly known in South America, and in fact only few species have been described.
In the Jurassic record of Argentina and Uruguay there are few unionid species identified: Diplodon dasilvai Martínez and Figueiras, 1991, Diplodon batoviensis Martínez and Figueiras, 1991 and Tacuaremboia caorsii Martínez, Figueiras and Da Silva, 1993 from the Tacuarembó Formation from Uruguay, Diplodon simplex Morton and Diplodon matildensis Morton in Morton and Herbst, 2001 from the La Matilde Formation of Argentina, and Cardinioides lanesae Damborenea in Damborenea and Lanés, 2007 from Puesto Araya Formation (Neuquén Basin). In addition, Diplodon esperanzaensis Camacho, 1957 was described for the Jurassic of Antarctica. Therefore, the Jurassic unionids from South America are characterized by the appearance of Diplodon-like species, but the absence of diagnostic characters in most of these species implies that this resemblance can be only superficial (e.g., Martínez et al., 2019 regarding D. esperanzaensis).
The Cañadón Asfalto Formation is a sedimentary unit of the homonymous basin; it was defined by Stipanicic et al. (1968), and later reinterpreted by Cabaleri et al. (2010a). It is constituted by two distinct volcano-sedimentary sections (Las Chacritas and Puesto Almada members) (Silva Nieto et al., 2003) corresponding to balance-fill and underfilled lacustrine systems (Cabaleri and Benavente, 2013; Cabaleri et al., 2013). Regarding invertebrate records, the clam shrimps are the most diverse component of aquatic fauna which were described by Tasch and Volkheimer (1970), Vallati (1986), Gallego et al. (2010, 2011) and Monferran et al. (2013, 2016, 2020). Ostracod and insect species were studied mainly by Mussachio (1970, 1995, 2001) and Genise et al. (2002) respectively. Bivalves are also conspicuous components of the paleofauna of the Cañadón Asfalto Formation but were only mentioned by Martínez et al. (2007), Gallego et al. (2011), and Zacarías et al. (2019). In this sense, the aim of this paper is to describe a new bivalved mollusk assemblage and analyze its paleoenvironmental conditions of the Cañadón Asfalto Formation at the Cañadón Asfalto locality, about 8 km south of the Cerro Cóndor village (middle Chubut River).
2. Geological setting
The Jurassic continental sedimentary rocks of Argentina are also present in Patagonia, where the Jurassic basins are associated with intense volcanism and plutonism, which was the result of subduction at the western margin of Gondwana (Spalletti and Franzese, 2007). The Cañadón Asfalto Basin is a rift basin of Middle to Late Jurassic age (Figari and Courtade, 1993; Silva Nieto et al., 2002; Hauser et al., 2017) in the Extra-Andean Patagonia (Chubut province, Fig. 1) and contains the most complete paleontological record of the continental Jurassic of South America. The extensional process that originated this basin was accompanied by the effusion of olivine basalt flows. The Cañadon Asfalto Basin has several isolated sub-basins. The Cerro Cóndor sub-basin is limited by NW oriented faults and occupies the central region of the basin (Fig. 1A) (Cabaleri et al., 2006, 2010a; Silva Nieto et al., 2007). The basement of the sub-basin consists of granitoids of the Mamil Choique Formation, of Carboniferous-Permian age.This unit is unconformably covered by the Lower Jurassic continental fluvio-deltaic deposits sequence of the Las Leoneras Formation (Nakayama, 1973), and underlies Lower-Middle Jurassic volcanites (U-Pb 172±2 Ma, Hauser et al., 2017; K-Ar 173 Ma, Silva Nieto, 2005) of the Lonco Trapial Formation (Lesta and Ferello, 1972), with an uncorfomity at the basal contact.The Lonco Trapial Formation is then unconformably overlain by the Cañadón Asfalto Formation (Fig. 1B). To the east of the Chubut River, the Cañadón Asfalto Formation occurs in tectonic contact with the Cañadón Calcáreo Formation (Proserpio, 1987) of Berriasian-Hauterivian age (Volkheimer et al., 2009). Continental units of the Chubut Group (Los Adobes and Cerro Barcino formations; Barremian/Cenomanian) cover the Cañadón Asfalto Formation in a low-angle unconformity (Lesta, 1968; Codignotto et al., 1978). In the northern area of the Cerro Cóndor locality (Fig. 1), the Cañadón Asfalto Formation is covered by the Lefipán (Campanian) and Paso del Sapo formations (Campanian/Maastrichtian) (Lesta and Ferello, 1972).
|
Fig. 1. Cañadón Asfalto locality. A. Geological map and location of the Cañadón Asfalto creek in the Cerro Cóndor Sub-basin (green star), central Chubut Province. B. Stratigraphic section of the Las Chacritas Member (Cañadón Asfalto Formation) in Cañadón Asfalto locality, modified from Cabaleri et al. (2010b). CA are the fossiliferous levels. C. Field view of the fossiliferous levels at Cañadón Asfalto locality, these are tuffitic layers (ca. 5 m thick) interbedded with shale.
|
The Cañadón Asfalto Formation is composed by the Las Chacritas Member (U-Pb age 168±2 Ma, Hauser et al., 2017; K-Ar age 170±4 Ma, Salani, 2007), and the Puesto Almada Member (U-Pb age 160±2 Ma, Hauser et al., 2017; Gallego et al., 2011; K-Ar age 147±3.3 Ma, Cabaleri et al., 2010b).
The type locality of the Las Chacritas Member is the Cerro Cóndor locality (Cerro Cóndor sub-basin). There, the member is composed by sedimentary rocks (limestone and shale) interbedded with pyroclastic deposits and basalt flows (Cabaleri and Armella, 1999). This unit ends with limestones interbedded with shales and tuffaceous levels with clam shrimps, bivalves, ostracods and coal remains. This sedimentary-volcanic sequence is interpreted as a carbonate rich lacustrine system episodically affected by intense volcanic activity developed in the margin of the Cañadón Asfalto rift basin during the synrift stage (Cabaleri et al., 2010a). These authors identified three depositional subenvironments: lacustrine, palustrine, and pedogenic. Freshwater bivalve assemblages hosted in volcanic and sedimentary rocks of the Cañadón Asfalto locality were found in tuffitic and vitreous tuff levels accumulated in a lacustrine sedimentary system with the development of microbial activity.
The Puesto Almada type section crops out in the Estancia El Torito locality (Cerro Cóndor sub-basin). This member is mainly composed of tuffs and tuffites, interbedded with brown yellowish laminated limestones that contain fish, plant remains, clam shrimps, bivalves, gastropods, ostracods, and caddisfly cases (Cabaleri et al., 2010a). The facies correspond to palustrine-lacustrine and fluvial, alkaline carbonate systems. The main environments are shallow lacustrine (ponds) and palustrine, associated with wetland sub-environments (Table 1).
3. Materials and methods
The materials analyzed were collected in the field trip in 2009 and they are housed in the Palaeozoology section of the Palaeontological Collections “Dr. Rafael Herbst” of the Universidad Nacional del Nordeste (Corrientes, Argentina) which are hosted at the CECOAL-CONICET-UNNE, under the collection numbers: CTES-PZ 7374-7378. Additional materials are deposited in the Palaeoinvertebrate Collection of the Museo Paleontológico “Egidio Feruglio”, Trelew, Argentina (MPEF-PI1190-1991).
3.1. Sedimentological analysis
Field description included the record of thickness, color, and lithology in vertical succession, including lateral variations. The color of the different lithological units was defined according to the Munsell Rock Color Chart from Geological Society of America. Sampling was carried out according to Flügel (2004), with 10 samples collected at a centimeter scale, and five additional samples collected from each of the previously defined microfacies. Samples were sent to the Rock Cutting and Thin Sectioning Laboratory of the Instituto de Geocronología y Geología Isotópica (INGEIS-CONICET-UBA, Buenos Aires) for production of polished slabs and standard thin sections (7.5 cm2). The polished slabs were described using a low-magnification stereo microscope (Leica S8 APO). Thin sections were stained with Alizarin Red S to differentiate calcite from dolomite and were observed and photographed using a Zeiss Axioskop 40 petrographic microscope.
3.2. Morphological analysis
Bivalves were obtained from forty samples recorded in three fossiliferous levels from the tuffitic facies, labeled as CA1, CA2 and CA3, based upon their stratigraphic position (Fig. 1). Thirty specimens were measurement in CA1 and CA2 levels, and only nine specimens in CA3 because the state of preservation prevented observing outlines. The morphological descriptions of mollusks were carried out according to sizes and outlines. The analysis of the sizes and graphical representations were performed using R software. Specimens were observed and photographed under a Stereoscopic Microscope Olympus SZ51 and a camera CANON EOS 6 at the Centro de Ecología Aplicada del Litoral (CECOAL- CONICET- UNNE) Corrientes, Argentina.
4. Results
4.1. Analysis of the fossiliferous levels
In the Cañadón Asfalto Creek the Las Chacritas Member is ca. 187 m thick and the Puesto Almada Member is 25 m thick. In this section, the Las Chacritas Member is characterized by thick olivine basalts levels intercalated with volcano-sedimentary sequences. Throughout the sequence, 12 basaltic sections are exposed, with thicknesses ranging from 1 to 15 m (Silva Nieto et al., 2002). The sedimentary sequence is represented by limestones, stromatolitic limestones, tuffites, tuffs, bituminous shale and evaporites, frequently in layers with wave cross-stratification and mudcracks, Chert nodules are common in brown limestone levels (Cabaleri and Armella, 1999; Cabaleri et al., 2005). Tempestite levels with intraclasts and silicified trunks remains are present. In the upper section of the stratigraphic section (Fig. 1B), the limestones are interbedded with conglomerates bearing chert clasts. An evaporite sequence is recorded, where breccias, gypsum, and silica layers were identified, together with algal limestones with gypsum interbeddings. The Las Chacritas Member ends with a bed of 18 m thickness composed of black shales interbedded with tuffs, tuffites, and limestones.
The Puesto Almada Member begins with tuffs and tuffites, with mudcracks and wave-ripple cross-stratification. In these beds clam shrimps carapaces and fragments of reworked bivalves were recognized.The sandstones and conglomerates of the Bardas Coloradas Member of the Los Adobes Formation (Chubut Group, Early Cretaceous) cover in angular unconformity the Jurassic sequence.
4.2. Petrographic analysis
The tuffitic levels and vitreous tuff are composed of thin tabular beds of 5 cm thickness, with yellowish brown (10 YR 5/4) and yellowish gray (7 Y 7/2) irregular laminae of 0.5 cm and 1 cm thickness respectively.The stratal surface is wavy, with mudcracks and scattered carbonaceous remains (20%).
The microscopic study reveals that the contacts among laminae are transitional to well defined sharp; the darkest ones, 5,000 to 4,000 μm thick, have vitreous texture with a matrix composed of fine vitreous material, altered to clay minerals, and microcrystalline silica (Fig. 2A-B-D).The vitroclasts correspond to subparallel glass shards (Fig. 2B), colorless (5%), 1,120 μm in length, and dark reddish brown (<1%) of 1,680 μm in length. A lesser amount (1%) of fine sand size (250-125 μm) crystals of quartz, potassium feldspar, plagioclase crystals replaced by calcite, and biotite replaced by iron oxides was observed.Small remains (<1%) of thin unidentified shell were recognized. The thinnest laminae (1,000 μm thick) are of tuffitic or sparitic composition (Fig. 2C). Tuffitic laminae have a matrix with crystalloclasts (<1%) of very fine sand size (125-62 μm).The vitroclasts are more abundant (15%), composed of glass shards, 1,150 μm long by 225 μm thick (10%) (Fig. 2D), bent and reworked. In addition, there are highly altered pumice fragments (5%), replaced by microesparite and microcrystalline silica.Elongated (1.5 to 2 cm) and circular (0.57 cm in diameter) cavities filled with amorphous silica, microcrystalline quartz and micrite were observed; together with elongated cavities (Fig. 2A, D) (0.5 cm thick and 1.5 cm long) filled with quartz and clay minerals. Associated with these filled cavities, other smaller ones (0.038 cm thick and 0.5 cm long) with undistinguished filling were recorded. These structures are surrounded by a bleached haloin the matrix (Fig. 2A, D). Fractured bioclasts (2%) of shell remains and scarce (<1%) opaque iron oxide was observed.
Interpretation: The well sorted vitroclasts and the dusty vitreous matrix indicates that the region was affected by ash fall. The elongated cavities described correspond to plant root systems (Alonso-Zarza and Wright, 2010; Košir, 2004), and the bleached areas of siliceous and micritic composition surrounding these radicular structures are interpreted as rizohaloes, indicating the zone of activity of the roots (Kraus and Hasiotis, 2006) with impoverishment of some element of the matrix (e.g., iron or manganese) and the disintegration of organic matter by bacterial activity (Bullock et al., 1985). The fragments of shells belong to bivalve and clam shrimp remains. The reworked particles of the tuffitic layer evidence movement of the water film.The mudcracks record desiccation episodes in a shallow subaqueous pond type environment affected by pedogenetic processes.
4.3. Bivalve assemblages
The fossil remains recovered from the vitreous tuff and tuffitic levels were mostly bivalves (80%) and clam shrimps (20%). Regarding the mode of preservation, this assemblage is remarkable for its preservation as internal molds by silicification (levels CA1 and CA2) and less commonly imprints and replacement (level CA3) (Fig. 3). The molds were arranged parallel to the bedding planes in cross section, described as concordant according to Kidwell et al. (1986). In two-dimensional view on the bedding-plane, the shell accumulations can be described as a pavement (Kidwell et al., 1986). Some molds show a low degree of superficial fragmentation.
The specimens are small-sized, length is between 7.6 and 11.7 mm and height between 5.2 and 7.6 mm (height/length ratio 0.56-0.88). The anterior margin is rounded, the posterior one obtusely pointed; the ventral margin is straight or slightly concave, the dorsal one nearly straight or slightly arched. The umbo cannot be distinguished in most specimens because of the type of preservation; when they are visible, they are situated at about ¼ of the shell length from the anterior end, and do not protrude from the dorsal margin. The shape resembles that of modern unionids; however, the absence of distinctive characters, such as hinges, sculpture, or muscle impressions, prevents a formal determination. At least two morphotypes has been recognized based on shape and height/length (H/L) variation. Morphotype 1 (M1) has suboval or subcircular-subtriangular outline with a convex ventral margin, the anterior margin being rounded and the posterior one with a marked angle (Fig. 3A). Morphotype 2 (M2) is transversely elliptical, with a slightly straight dorsal margin and sharp anterior margin (Fig. 3B).
Thirty specimens were analyzed in CA1 and CA2 levels, and nine specimens in CA3 due to the bad preservation, which prevents recognizing outlines. In table 2 and figure 4 the differences and similarities among the assemblages of the three levels are shown (supplementary data, Appendix 1). The smallest specimen is 6.9 mm long and 5.4 mm high and the larger specimen is 11.7 mm long and 6.5 mm high. We calculated the Shapiro-Wilk normality test for length in each bivalve levels (Table 2), and this analysis evidence that the three levels have a normal distribution (p>0.05). The size-frequency histogram based on length exhibits a mode at 8.5-9 mm in CA1 and 9.5-10 mm in CA2, while the two peaks at CA3 level is unreliable due to the low number of individuals (Fig. 4A-C). The size-frequency histogram based on height exhibits a mode at 6-6.5 mm in CA1, 6-7 mm in CA2, and 6-6.5 mm in CA3 (Fig. 4D-F).
|
Fig. 4. Size-frequency distribution of length (A-C) and height (D-F) ratios from Cañadón Asfalto locality, using R program.
|
ANOVA analysis evidence that there are differences between mean length of the three levels (supplementary data, Appendix 2). CA2 and CA3 assemblages are similar in size and different to CA1, suggesting probably different environment conditions (Fig. 5A). Additionally, similar results are obtained for H/L ratio from three levels. CA1 shows a wider range of the H/L ratio than CA2 and CA3 (Fig. 5B). However, comparisons with the last assemblage are not reliable due to the sample size (Appendix 2). Finally, scatterplots show height-length proportion for the three levels (Fig. 5C).
5. Discussion
Previous records of bivalves from the Cañadón Asfalto Formation refer mainly to indeterminate taxa related to Diplodon (Martínez et al., 2007; Gallego et al., 2011). In fact, unionid characters such as inner nacreous shell layer, characteristic umbonal sculptures and muscular scars are not visible in the fossil bivalves from the Cañadón Asfalto Formation, and as a result, a proper classification is difficult. Based on the fossil records of Jurassic unionids and the external appearance of the bivalves from CA levels, we could be related to Unionida like Diplodon, Unio or Cuneopsis by their shape; particularly it resembles Diplodon matildensis from the La Matilde Formation (Morton and Herbst, 2001). The recognition of morphotypes in CA levels indicate that this species is morphologically variable as it happens in several freshwater bivalve species like Cuneopsis johannisboehmi Frech, 1911 (Pan and Sha, 2009). Anyhow, our identification of the specimens are shape and contextual based, and new specimens with better preservation are necessary for a safer procedure.
5.1. Palaeoenvironment and palaeoecology
Facies associations at the Cañadón Asfalto locality reflect a sedimentary depositional process in a lacustrine system intermittently affected by volcanic episodes (Cabaleri et al., 2010a) (Table 1). An autochthonous benthic fauna was settled in the water body where unionids were the main component.The presence of clam shrimps provides additional information on the palaeoenviroment. They have a specialized life cycle that is adapted to life in ephemeral pools and live within a temperature range from 13 to 25 °C with pH conditions from neutral to alkaline (Tasch, 1969; Webb, 1979; Frank, 1988). Unionids are also good environmental indicators, and their size and shape allow reconstructing environmental conditions. In general, the optimal unionid ecological habitat comprises clean and shallow water, pH slightly >7, perennial aquatic habitat, and stable substrate (Good, 2004). The relationship between morphotype and habitat has been studied in unionids for over 100 years (Zieritz and Aldridge, 2009).They are one of the most significant members of benthic freshwater systems, notable for their ecophenotypic plasticity (Cummins, 1994). Hinch et al. (1986) observed shells of the same species to be more elongated in sand than in mud. On the other hand, the shell elongation and shape of the dorso-posterior area were associated with the different hydrological characters of the habitat, where shell thickness generally increases as the water speed increases, and in consequence fluvial unionids have thicker shells than lacustrine ones (Ball, 1922; Eager, 1948; Tevesz and Carter, 1980; Burkey, 1983; Good, 2004; Zieritz and Aldridge, 2009).
In Cañadón Asfalto locality, the abundant record of unionid specimens confirms that the environmental conditions were favorable for the development of their populations and the distinction of morphotypes indicates ecophenotypic plasticity. However, the ranges in the shell size of the assemblages from the three fossiliferous levels suggest that the environment was not always favorable, and some individuals died before reaching the maximum or medium sizes. According to the quantitative analysis, in level CA1 the bivalve assemblage shows more small-sized exemplars, indicating probably unfavorable conditions than CA2 and CA3 assemblages. The sedimentary analysis records periods of stability in the lacustrine system (with the development of microbial activity) and volcanic episodes with ash fall that was unfavorable to the development of the fauna. Ash influence in aquatic environments and its consequences (mainly abundance and size) on benthic organisms, including bivalves, has been proven both experimentally (e.g., Salas-Yanquin et al., 2018) and descriptively (e.g., Brzezinski and Holton, 1983) in recent settings, and hypothesized for the fossil record (e.g., Good, 2004; Maguire et al., 2016). Volcanic ash contributed to the alkalinity of water through hydration and alteration of silicic volcanic glass, which is highly active (Hay, 1966; Jones, 1969; Sheppard and Gude, 1969). In addition, the poor preservation of the shell reflects the general conditions and water chemistry of these environments, which were heavily influenced by volcanic processes. Frequent ash deposition and alteration of volcanic glass particles locally created an acidic environment within the alkaline lake, which led to early diagenetic formation of authigenic alumino-silicate minerals, ferruginous internal moulds, dissolution of the carbonate shell and silicification of shells (Fürsich and Pan, 2016).
Table 3 shows unionid species recorded from fluvial deposits or sandy substrates in different Jurassic basins, where they are mainly large, more than 30 mm in length. North America, Europe and Africa contain larger forms compared to China, Antarctica, and South America species. Tacuaremboia caorsii from Uruguay is the only giant species from South America; the unionids from Argentina are characterized by small forms, less than 15 mm in length (Cañadón Asfalto and La Matilde formations). Cardinioides lanesae appears in lagoonal facies with frequent changes in salinity, suggested by a trapezoidal globose shell with posterior umbonal carina and a truncated posterior margin (Damborenea and Lanés, 2007). Species from Jurassic and Lower Cretaceous of northeastern China show frequently small sizes (ca. 10 mm) recorded in lacustrine deposits (Fürsich and Pan, 2016). Cuneopsis johannisboehmi shows a wide range of sizes (15-68 mm long) where the smallest specimens are 15 mm long and 9.5 mm high. Therefore, the bivalve freshwater fauna from Patagonia described here show the smallest-sized association of unionids recorded for the Jurassic time.
Finally, according to preservation mode remarks, bivalve populations died and accumulated in the same place where they lived in the lake. Transport is not evidenced here; the remains do not have preferential orientation or wear. However, time averaging is considered because these environments possess low sedimentation rates, subsequently generating accumulation of specimens remains (see Kidwell and Bosence, 1991). Thus, the characteristics of the three assemblages suggest an accumulation of mixed populations classified as within-habitat time-averaged assemblage (Kidwell and Bosence, 1991).
6. Conclusion
Bivalve specimens are broadly similar to modern unionids; however, the absence of distinctive characters such as hinges, sculpture or muscle impressions, prevents a formal determination. Probably, the bivalves from Cañadón Asfalto Formation could be related to unionids like Diplodon, Unio or Cuneopsis, resembling particularly to Diplodon matildensis from the La Matilde Formation of the Santa Cruz province.
A characteristic of these assemblages is the small size of the specimens compared to other freshwater bivalve assemblages from Jurassic times, with size ranging from 7.6-11.7 mm long and 5.2-7.6 mm high. In the CA1 fossiliferous level the bivalve assemblage is composed by a higher proportion of small individuals than levels CA2 and CA3, likely indicating probably different environmental conditions. The three assemblages studied represent mixed populations and our results suggest that the environmental influence of pyroclastic falls played an important role in the size of populations and shells.
Acknowledgments
This research was supported by grants PIP-112/201001/00034 to NGC from Argentina’s Consejo Nacional de Investigaciones Científicas y Técnicas (CONICET) and Secretaría General de Ciencia y Técnica- Universidad Nacional del Nordeste [SEGCyT- UNNE PI-Q006-2014 and PI-18Q005] to OFG. The Comisión Nacional de Energía Atómica (CNEA) provided logistical support at the Campamento Los Adobes during fieldwork. We thank to Lic. C. Geise for statistical analysis support and Gabriel Giordanengo for some drafting support. We thank to anonymous reviewer and Dra. A. Pagani for the suggestions on the manuscript.
References
Alonso-Zarza, A.M.; Wright, V.M. 2010. Palustrine carbonates. In Carbonates in Continental Settings: Facies, Environments and Processes: Developments in Sedimentology (Alonso-Zarza, A.M.; Tanner, L.H.; editors). Elsevier: 103-132. Amsterdam. doi:https://doi.org/10.1016/S0070-4571(09)06102-0
Ball, G.H. 1922. Variation in freshwater mussels. Ecology 3: 93-121.
Branson, C.C. 1935. Fresh-water invertebrates from the Morrison (Jurassic?) of Wyoming. Journal of Paleontology 9: 514-522.
Brzezinski, M.A.; Holton, R.L. 1983. A report on the macroinvertebrates of the Columbia River estuary found in deposits of volcanic ash from the May 18, 1980 eruption of mount St. Helens. Estuaries 6: 172-175. doi: https://doi.org/10.2307/1351708
Bullock, P.; Fedoroff, N.; Jongerius, A.; Stoops, G.; Tursina, T. 1985. Handbook for soil thin-section description. Waine: 152 p. Albrighton.
Burkey, A. 1983. Physiological ecology of freshwater bivalves. In The Mollusca, Volume 6, Ecology (Russell-Hunter W.; editor). FL Academic Press: 281-327. Orlando.
Cabaleri, N.G.; Armella, C. 1999. Facies lacustres de la Formación Cañadón Asfalto (Caloviano-Oxfordiano), en la quebrada Las Chacritas. Cerro Cóndor, provincia del Chubut. Revista de la Asociación Geológica Argentina 54 (4): 375-388.
Cabaleri, N.G.; Benavente, C.A. 2013. Sedimentology and paleoenvironments of the Las Chacritas carbonate paleolake, Cañadón Asfalto Formation (Jurassic), Patagonia, Argentina. Sedimentary Geology 284-285: 91-105. doi: https://doi.org/10.1016/j.sedgeo.2012.11.008
Cabaleri, N.G.; Armella, C.; Silva Nieto, D.G. 2005. Saline lakes of Cañadón Asfalto Formation (Middle-Upper Jurassic), Cerro Cóndor, Chubut Province (Patagonia), Argentina. Facies 51: 350-364. doi: https://doi.org/10.1007/s10347-004-0042-5
Cabaleri, N.; Armella, C.; Silva Nieto, D.G.; Volkheimer. W. 2006. Paleoambientes sedimentarios de la Formación Cañadón Asfalto (Jurásico Superior) en los depocentros de Cerro Cóndor y Gastre-Gan Gan Provincia del Chubut. In Congreso Latinoamericano de Sedimentología, No. 4, and Reunión Argentina de Sedimentología, No. 11: p. 64. San Carlos de Bariloche.
Cabaleri, N.G.; Volkheimer, W.; Armella, C.; Gallego, O.F.; Silva Nieto, D.G.; Cagnoni, M.C.; Ramos, A.M.; Panarello, H.O. 2010a. Estratigrafía, análisis de facies y paleoambientes de la Formación Cañadón Asfalto: Jurásico, depocentro de Cerro Cóndor, río Chubut medio, Patagonia, República Argentina. Revista de la Asociación Geológica Argentina 66: 349-367.
Cabaleri, N.G.; Volkheimer, W.; Silva Nieto, D.; Armella, C.; Cagnoni, M.; Hauser, N.; Matteini, M.; Pimentel, M. 2010b. U-Pb ages in zircons from Las Chacritas and Puesto Almada members of the Jurassic Cañadón Asfalto Formation, Chubut province, Argentina. In South American Symposium on Isotope Geology, No. 7: 190-193. Brasilia.
Cabaleri, N.G.; Benavente, C.A.; Monferran, M.D.; Narváez, P.L.; Volkheimer, W.; Gallego, O.F.; Do Campo, M.D. 2013. Sedimentology and palaeontology of the Upper Jurassic Puesto Almada Member (Cañadón Asfalto Formation, Fossati sub-basin), Patagonia Argentina: Palaeoenvironmental and climatic significance. Sedimentary Geology 296: 103-121. doi: https://doi.org/10.1016/j.sedgeo.2013.08.011
Camacho, H.H. 1957. Descripción de una fauna marina paleocena procedente de Tierra del Fuego. Ameghiniana 1: 96-100.
Codignotto, J.; Nullo, F.; Panza, J.; Proserpio, C. 1978. Estratigrafía del Grupo Chubut entre Paso de Indios y Las Plumas, provincia del Chubut, Argentina. In Congreso Geológico Argentino, Actas 7: 471-480.
Cummins, R.H. 1994. Taphonomic processes in modern freshwater molluscan death assemblages: Implications for the freshwater fossil record. Palaeogeography, Palaeoclimatology, Palaeoecology 108: 55-73. doi: https://doi.org/10.1016/0031-0182(94)90022-1
Damborenea, S.E.; Lanés, S. 2007. Early Jurassic shell beds from marginal marine environments in southern Mendoza, Argentina. Palaeogeography, Palaeoclimatology, Palaeoecology 250: 68-88. doi: https://doi.org/10.1016/j.palaeo.2007.03.002
Delvene, G.; Munt, M.; Royo-Torres, R.; Cobos, A.; Alcalá, L. 2013. Late Jurassic-Early Cretaceous freshwater bivalves from Turiasaurus riodevensis bearing strata of Teruel (Spain). Spanish Journal of Palaeontology 28 (2): 161-172.
Delvene Ibarrola, M.G.; Munt, M.; Piñuela, L.; García Ramos, J.C. 2016. New Unionida (Bivalvia) from the Kimmeridgian (Late Jurassic) of Asturias, Spain, and their palaeobiogeographical implications. Papers in Paleontology 2 (2): 265-285. doi: https://doi.org/10.1002/spp2.1039
Eager, R.M.C. 1948. Variation in shape of shell with respect to ecological station. A review dealing with Recent Unionidae and certain species of the Anthracosiidae in Upper Carboniferous times. In Proceedings of the Royal Society of Edinburgh, Section B: Biological Sciences 63 (2): 130-148.
Figari, E.G.; Courtade, S.F. 1993. Evolución tecto-sedimentaria de la Cuenca de Cañadón Asfalto, Chubut, Argentina. In Congreso Geológico Argentino, No. 12, and Congreso de Exploración de Hidrocarburos, No. 2: 66-77. Mendoza.
Flügel, E. 2004. Microfacies of carbonate rocks: Analysis, interpretation and application. Springer-Verlag: 976 p. Berlin.
Frank, P.W. 1988. Conchostraca. Palaeogeography, Palaeoclimatology, Palaeoecology 62: 399-403.
Frech, F. 1911. Abschliessende Paläontologische Bearbeitung der Sammlungen E von Richthofens, die Untersuchung weiterer fossiler Reste aus den von ihm bereisten Provinzen sowie den Entwurf einer erdgeschichtlichen Uebersicht China’s. China Ergebnisse Eigener Reisen und Darauf Gegründeter Studien 5: 1-195.
Frenguelli, J. 1945. Moluscos continentales en el Paleozoico superior y en el Triásico de la Argentina. Notas del Museo de La Plata, Sección Paleontología 83: 181-204.
Fürsich, F.T.; Pan, Y.H. 2016. Diagenesis of bivalves from Jurassic and Lower Cretaceous lacustrine deposits of northeastern China. Geological Magazine 153: 17-37. doi: https://doi.org/10.1017/S0016756815000242
Gallego, O.F.; Shen, Y.B.; Cabaleri, N.G.; Hernández, M. 2010. The genus Congestheriella Kobayashi, 1954 (Conchostraca, Afrograptioidea): redescription and new combination to Isaura olsoni Bock from Venezuela and a new species from Argentina (Upper Jurassic). Alavesia 3: 11-24.
Gallego, O.F.; Cabaleri, N.G.; Armella, C.; Volkheimer, W.; Ballent, S.C.; Martínez, S.; Monferran, M.D.; Silva Nieto, D.G.; Páez, M.A. 2011. Paleontology, sedimentology and paleoenvironment of a new fossiliferous locality of the Jurassic Cañadon Asfalto Formation, Chubut Province, Argentina. Journal of South American Earth Sciences 3: 54-68. doi: https://doi.org/10.1016/j.jsames.2010.11.001
Gallego, O.F.; Cabaleri, N:G.; Monferran, M.D.; Armella, C.; Zacarías, I.; Silva Nieto, D.; Jiménez, V. 2022. D.5. Invertebrados Continentales Mesozoicos. In Relatorio Congreso Geológico Argentino, No. 21 (Giacosa, R.; editor). Geología y Recursos Naturales de la Provincia del Chubut: 755-799. Puerto Madryn.
Genise, J.F.; Gallego, O.F.; Melchor, R.N.; De Valais, S. 2002. Capullos fósiles de tricópteros (Conchindusia isp.) (Insecta) construidos con valvas de conchóstracos del Jurásico de la Patagonia, Argentina. In Congreso Argentino de Paleontología y Bioestratigrafía, No. 8, Resúmenes: p. 93. Corrientes.
Good, S.C. 1993. Stratigraphic distribution of the mollusc fauna of the Chinle Formation and molluscan biostratigraphic zonation. In The Nonmarine Triassic (Lucas, S.G.; Morales, M.; editors). New Mexico Museum of Natural History and Science Bulletin 3: 155-159. Mexico.
Good, S.C. 2004. Paleoenvironmental and paleoclimatic significance of freshwater bivalves in the Upper Jurassic Morrison Formation, Western Interior, USA. Sedimentary Geology 167: 163-176. doi: https://doi.org/10.1016/j.sedgeo.2004.01.005
Grabau, A.W. 1923: Cretaceous fossils from Shantung. Bulletin of the Geological Survey of China 5: 148-181.
Hauser, N.; Cabaleri, N.G.; Gallego, O.F.; Monferran, M.D.; Silva Nieto, D.; Armella, C.; Matteini, M.; Aparicio González, P.A.; Pimentel, M.M.; Volkheimer, W.; Reimold, W.U. 2017. UPb and Lu-Hf zircon geochronology of the Cañadón Asfalto Basin, Chubut, Argentina: Implications for the magmatic evolution in central Patagonia. Journal of South American Earth Sciences 78: 190-212. doi: https://doi.org/10.1016/j.jsames.2017.05.001.
Hay, R.L. 1966. Zeolites and zeolitic reactions in sedimentary rocks. Geological Society of America, Special Paper 85-130.
Hendry, P.J.; Perkins, W.T.; Bane, T. 2001. Short-term environmental change in a Jurassic lagoon deduced from geochemical trends in aragonite bivalve shells. Geological Society of America Bulletin 113 (6): 790-798. doi: https://doi.org/10.1130/0016-7606(2001)113<0790:STECIA>2.0.CO;2
Hinch, S.G.; Bailey, R.C.; Green, R.H. 1986. Growth of Lampsilis radiata (Bivalvia: Unionidae) in sand and mud: a reciprocal transplant experiment. Canadian Journal of Fisheries and Aquatic Sciences 43 (3): 548-552.
Holt, E.L. 1942. A new Unio from the Morrison Formation of the Grand River Valley, Colorado. Journal of Paleontology 16: 459-460.
Hudson, J.D. 1963. The ecology and stratigraphical distribution of the invertebrate fauna of the Great Estuarine Series. Palaeontology 6: 327-348.
Jiang, B. 2006. Non-marine Ferganoconcha (Bivalvia) from the Middle Jurassic in the Daohugou area, Ningcheng County, Inner Mongolia, China. Acta Palaeontologica Sinica 45: 259-264.
Jingshan, Y.; Mizuno, A.; Lixin, W. 1993. The Jurassic system in the Qinshui Basin, Shanxi Province, with notes on the bivalve province of North China. Palaeogeography, Palaeoclimatology, Palaeoecology 105 (1-2): 157-170.
Jones, J.G. 1969. Pillow lavas as depth indicators. American Journal of Science 267 (2): 181-195.
Kidwell, S.M.; Bosence, D.W.J. 1991.Taphonomy and time-averaging of marine shelly faunas. In Taphonomy: Releasing Data Locked in the Fossil Record, Topics in Geobiology Series 9 (Allison, P.A.; Briggs, D.E.G.; editors) Plenum: 115-209. New York.
Kidwell, S.M.; Fürsich, F.T.; Aigner, T. 1986. Conceptual framework for the analysis and classification of fossil concentrations. Palaios 1: 228-238. doi: https://doi.org/10.2307/3514687
Košir, A. 2004. Microcodium revisited: root calcification products of terrestrial plants on carbonate-rich substrates. Journal of Sedimentary Research 74 (6): 845-857.
Krauss, M.; Hasiotis, S.T. 2006. Significance of diferents modes of rhizolites preservation to interpreting palaeoenvironmental and paleohydrologic setting: examples from Paleogen paleosols, Bighorn basin, Wiyoming, U.S.A.: Journal of Sedimentary Research 76: 633-646.
Lesta, P. 1968. Estratigrafía de la cuenca del Golfo de San Jorge. In Jornadas Geológicas Argentinas, No. 3, Asociación Geológica Argentina: 187-289. Buenos Aires.
Lesta, P.; Ferello, R. 1972. Región extraandina de Chubut y norte de Santa Cruz. In Geología Regional Argentina (Leanza, A.; editor). Academia Nacional Ciencias: 601-653. Córdoba.
Mantell, G.A. 1844. On the Unionidae of the river of the country of the Iguanodon. The American Journal of Science and Arts 47 (1): 402-406.
Maguire, E.P.; Feldmann, R.M.; Casadio, S.; Schweitzer, C.E. 2016. Distal volcanic ash deposition as a cause for mass kills of marine invertebrates during the Miocene in Northern Patagonia, Argentina. Palaios 31 (12): 577-591.
Martínez, S.; Figueiras, A. 1991. Two new species of Mesozoic Diplodon (Bivalvia: Hyriidae: Hyriinae) from Uruguay. Walkerana 5: 217-223.
Martínez, S.; Figueiras, A.; Da Silva, J. 1993. A new Unionoidea (Mollusca, Bivalvia) from the Tacuarembó Formation (Upper Triassic-Upper Jurassic), Uruguay. Journal of Paleontology 67 (6): 962-965.
Martínez, S.; Gallego, O.F.; Cabaleri, N. 2007. Nueva fauna de moluscos de la Formación Cañadón Asfalto (Jurásico Medio a Superior) Chubut, Argentina. Ameghiniana 44 (4): 96R.
Martínez, S.; Scasso, R.A.; Elgorriaga, A.; Calpelli, I.; Del Valle, R.; Puerta, P.; Lirio, J.M.; Rodríguez Almenábar, C. 2019. The (truly) first fossil freshwater molluscs from Antarctica. Palaontologische Zeitschrift 94: 513-51. doi: https://doi.org/10.1007/s12542-019-00498-3
Meek, F.B.; Hayden, F.V. 1858. Descriptions of the new organic remains collected in Nebraska Territory in the year 1857. In Proceedings of the Academy of Natural Sciences of Philadelphia 10: 109-134.
Mongin, D. 1963. Les lamellibranches du Continental Intercalaire‘ du Sahara. In Les mollusques du Continental Intercalaire‘ (Mésozoïque) du Sahara Central. Mémoires de la Société Géologique de France 96: 5-40.
Monferran, M.D.; Gallego, O.F.; Cabaleri, N.G. 2013. A first record of the family Fushunograptidae (‘Conchostraca’, Spinicaudata) from the Cañadón Asfalto Formation (Upper Jurassic), Patagonia, Argentina. Ameghiniana 50 (4): 447-459. doi: https://doi.org/10.5710/AMGH.15.07.2013.607
Monferran, M.D.; Cabaleri, N.G.; Gallego, O.F.; Armella, C.; Cagnoni, M. 2016. Spinicaudatans from the Upper Jurassic of Argentina and their paleoenvironments. Palaios 31: 405-420.
Monferran, M.D.; Gallego, O.F.; Cabaleri, N.G. 2020. Revision of Two Spinicaudatan Species from the Cañadón Asfalto Formation (Jurassic), Patagonia Argentina. Zoological Studies 59: 37. doi: https://doi.org/10.6620/ZS.2020.59-37
Morton, L.S.; Herbst, R. 2001. Nuevas especies del género Diplodon Spix (Bivalvia, Unionidea) del Jurásico Medio (Formación La Matilde), provincia de Santa Cruz, Argentina. Revista del Museo Argentino de Ciencias Naturales 3: 159-164.
Musacchio, E. 1970. Ostracodos de las superfamilias Cytheracea y Darwinulacea de la Formacion la Amarga (Cretacico Inferior) en la provincia de Neuquén República Argentina. Ameghiniana 7 (4): 301-316.
Mussachio, E. 1995. Estratigrafía y micropalentología del Jurásico y el Cretácico en la comarca del Valle Medio del Río Chubut, Argentina. In Congreso Argentino de Paleontología y Bioestratigrafía, No. 6, Actas 4: 179-187. Trelew.
Musacchio, E. 2001. Relaciones Paleobiogeográficas de los Ostrácodos no Marinos del Jurásico y el Cretácico de Patagonia. Acta Geológica Leopoldensia 24 (52-53): 293-310.
Nakayama, C. 1973. Sedimentitas pre-Bayocianas en el extremo austral de la Sierra de Taquetrén, Chubut (Argentina). In Jornadas Geológicas Argentinas, No. 1: 269-277. Córdoba.
Newton, R. 1909. On some fossils from the Nubian sandstone series of Egypt. Geological Magazine 5: 394-403.
Pan, Y.H.; Sha, J.G. 2009. Middle Jurassic unionids (non-marine Bivalvia) from the Shiwandashan Basin, southern China, with special emphasis on Cuneopsis Simpson. GFF 131: 183-194. doi: https://doi.org/10.1080/11035890902867456.
Proserpio, C.A. 1987. Descripción geológica de la Hoja 44e, Valle General Racedo. Boletín Dirección Nacional de Minería y Geología 201: 1-102. Buenos Aires.
Salani, F.M. 2007. Aporte a la edad de la Formación Cañadón Asfalto, Chubut, Argentina. Ameghiniana 44: 65R-66R.
Salas-Yanquin, L.P.; Navarro, J.M.; Pechenik, J.A.; Montory, J.A.; Chaparro, O.R. 2018. Volcanic ash in the water column: Physiological impact on the suspension-feeding bivalve Mytilus chilensis. Marine Pollution Bulletin 127: 342-351. doi: https://doi.org/10.1016/J.MARPOLBUL.2017.12.024
Sheppard, R.A.; Gude, A.J. 1969. Diagenesis of tuffs in the Barstow Formation, Mud Hills, San Bernardino County, CA. United States Geological Survey Professional Paper 634: p. 35.
Silva Nieto, D.G. 2005. Hoja Geológica 4369-III, Paso de Indios. Servicio Geológico Minero Argentino, Boletín del Instituto de Geología y Recursos Minerales 265: 1-72. Escala 1:250.000.
Silva Nieto, D.; Cabaleri, N.; Salani, F.; Coluccia, A. 2002. Cañadón Asfalto, una cuenca de tipo “Pull Apart” en el área de Cerro Cóndor, Provincia del Chubut. In Congreso Geológico Argentino, No. 15: 238-243. La Rioja.
Silva Nieto, D.G.; Cabaleri, N.G.; Salani, F.M. 2003. Estratigrafía de la Formación Cañadón Asfalto (Jurásico Superior) provincia del Chubut. Ameghiniana 40: 46R.
Silva Nieto, D.; Cabaleri, N.; Armella, C.; Volkheimer, W.; Gallego, O. 2007. Hipótesis sobre la evolución tecto-sedimentaria de la Formación Cañadón Asfalto, Provincia del Chubut. Ameghiniana 44: 67R.
Spalletti, L.A.; Franzese, J.R. 2007. Mesozoic paleogeography and paleoenvironmental evolution of Patagonia (southern South America). In Patagonian Mesozoic Reptiles (Gasparini, Z.; Salgado, L.; Coria, R.A.; editors). Indiana University Press: 29-49. Indianapolis.
Stipanicic, P.; Rodrigo, F.; Baulíes, O.L.; Martínez, C.G. 1968. Las formaciones presenonianas en el denominado Macizo Nordpatagónico y regiones adyacentes. Revista de la Asociación Geológica Argentina 23: 67-98.
Tasch, P. 1969. Branchiopoda. In Treatise on Invertebrate Paleontology, Part R, Arthropoda, 4 (Moore, R.C.; editor). Geological Society of America and University of Kansas Press: 128-191. Lawrence.
Tasch, P.; Volkheimer, W. 1970. Jurassic Conchostracans from Patagonia. The University of Kansas Paleontological Contributions 50: 1-23.
Tevesz, M.J.S.; Carter, J.G. 1980. Environmental relationships of shell form and structure of unionacean bivalves. In Skeletal growth of aquatic organisms (Rhoads, D.C.; Lutz, R.A.; editors). Plenum Press: 295-322. New York.
Vallati, P. 1986. Conchóstracos Jurásicos de la Provincia de Chubut, Argentina. In Congreso Argentino de Paleontología y Bioestratigrafía, No. 4: 29-38. Mendoza.
Van Damme, D.; Bogan, A.E.; Dierick, M. 2015. A revision of the Mesozoic naiads (Unionoida) of Africa and the biogeographic implications. Earth Science Reviews 147: 141-200. doi: https://doi.org/10.1016/j.earscirev.2015.04.011 89, 585-629
Volkheimer, W.; Gallego, O.F.; Cabaleri, N.G.; Armella, C.; Narváez, P.L.; Silva Nieto, D.G.; Páez, M.A. 2009. Stratigraphy, palynology, and conchostracans of a Lower Cretaceous sequence at the Cañadón Calcáreo locality, Extra-Andean central Patagonia: age and palaeoenvironmental significance. Cretaceous Research 30: 270-282.
Watters, G.T. 2001. The Evolution of the Unionacea in North America, and Its Implications for the Worldwide Fauna. In Ecology and Evolution of the Freshwater Mussels Unionoida (Bauer, G.; Wächtler, K.; editors). Ecological Studies, Springer: p. 145. Berlin. doi: https://doi.org/10.1007/978-3-642-56869-5_15
Webb, J.A. 1979. A reappraisal of the palaeoecology of conchostracans (Crustacea: Branchiopoda). Neues Jahrbuch fur Geologie und Palaontologie Abhandlungen 158: 259-275.
White, C.A. 1886. On the fresh-water invertebrates of the North American Jurassic. U.S. Geological Survey Bulletin 29: 1-41.
Yen, T.C. 1952. Molluscan fauna of the Morrison Formation. U.S. Geological Survey Professional Paper 233-B: 21-51.
Yu, J.S.; Zhang, R.J. 1980. Jurassic lamellibranchs. In Mesozoic biostratigraphy of Shaan-Gan-Ning Basin (Institute of Geology, Chinese Academy of Geological Sciences; editors). Geological Publishing House 2: 27-47. Beijing.
Zacarías, I.A.; Monferran, M.D.; Martínez, S.; Gallego, O.F.; Cabaleri, N.G.; Armella, C.; Silva Nieto, D. 2019. Taphonomic analysis of an autochthonous fossil concentration in Jurassic lacustrine deposits of Patagonia, Argentina. Palaeogeography, Palaeoclimatology, Palaeoecology 514: 265-281. doi: https://doi.org/10.1016/j.palaeo.2018.10.020
Zakharov, V.A.; Ippolitov, A.P.; Zverkov, N.G.; Beznosov, P.A.; Kiselev, D.N. 2020. Middle Jurassic Retroceramids and Unionids from the Izhma River Basin, North of European Russia. Stratigraphy and Geological Correlation 28: 381-401. doi: https://doi.org/10.1134/S0869593820040115
Zieritz, A.; Aldridge, D.C. 2009. Identification of ecophenotypic trends within three European freshwater mussel species (Bivalvia: Unionoida) using traditional and modern morphometric techniques. Biological Journal of the Linnean Society 98 (4): 814-825.
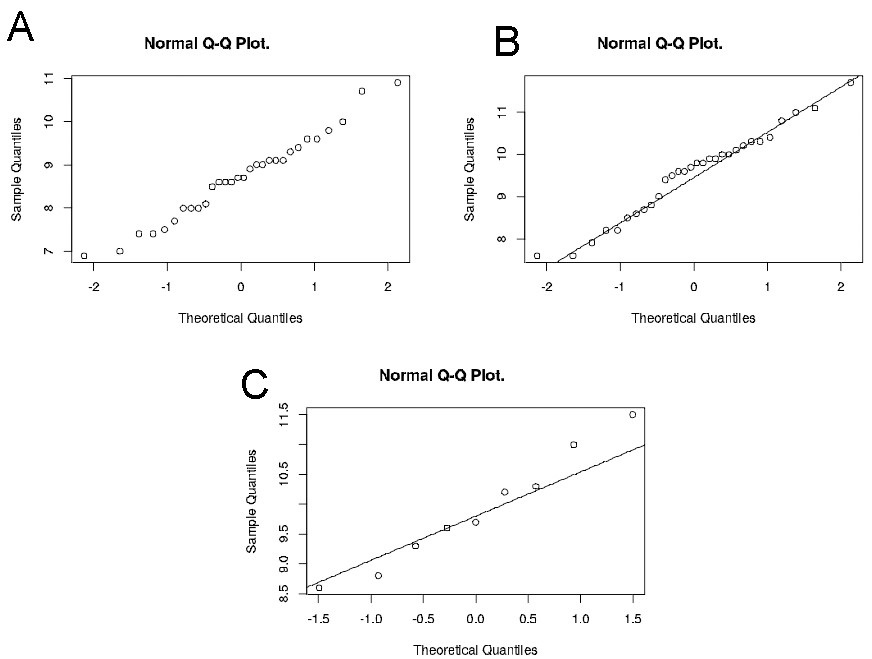
1. Normality tests were applied regarding length and height of the bivalves from each level.
a) Shapiro-Wilk test: The null hypothesis for this test is that the data are normally distributed. The Prob <W value listed in the output is the p-value. We chosen 0.05 as alpha level and the p-value is less than 0.05, then the null hypothesis that the data are normally distributed is rejected (Royston, 1992). In this case, these results show for all levels p >0.05 for the length variable, indicating a normal distribution (Table 1). However, in CA2 level doesn’t show H/L normal distribution.
b) Qq-plots (Fig.1): a Q-Q (quartile-quartile) plot is a probability plot, which is a graphical method for comparing two probability distributions by plotting their quantiles against each other (Wilk and Gnanadesikan, 1968).
|
Fig. 1. Qq-plots results. A. level CA1. B. level CA2. C. level CA3.
|
2. We compared length and height between levels through the Kruskal-Wallis test and ANOVA. Kruskal-Wallis results show that there is a significant difference between sample length medians and H/L relationship (p >0.05). ANOVA results indicate the same results of length medians relationship (Table 2).
3. Finally, we evaluated if the data size is enough for the comparison of means. We have compared between levels, and our results show that in 95% of cases the size data appropriate have to be n=32. Therefore, as CA3 level has only 9 specimens we must be careful with comparisons with this level.
Script applied in R program:
Shapiro-Wilk test:
Length:
> shapiro.test(lvlCA1_length)
> shapiro.test(lvlCA2_length)
> shapiro.test(lvlCA3_length)
H/L:
> shapiro.test(lvlCA1_ ratioHL)
> shapiro.test(lvlCA2_ ratioHL)
> shapiro.test(lvlCA3_ ratioHL)
Kruskal-Wallis test:
> kruskal.test(length~Level, data=bivalve)
> kruskal.test(ratioHL~Level, data=bivalve)
ANOVA:
Length:
mod2 <- aov(Length~Level, data=bivalve)
anova(mod2)
>anova(mod2)
Analysis of Variance Table
Response: Length
Df Sum Sq Mean Sq F value Pr(>F)
Level2 15.0037.50177.3004 0.001367 **
Residuals 66 67.8201.0276
contrast analysis
>TukeyHSD(mod2)
Tukey multiple comparisons of means
95% family-wise confidence level
Fit: aov(formula=Length ~ Level, data=bivalve)
$Level
difflwrupr p adj
50-43 0.83333330.2057734 1.460893 0.0061997
51-43 1.18222220.2584790 2.105965 0.0086463
51-50 0.3488889 -0.5748543 1.272632 0.6387172
Comparison between data size:
alfa<- 0.05
alfa_2 <- alfa/2
Z <- qnorm(alfa_2, lower.tail = FALSE)
B <- 0.5
TamMuestrealCA1_CA2 <- (Z^2 * ( sd(lvl43_Length)^2 + sd(lvl50_Length)^2 )) / B^2
> TamMuestrealCA1_CA2
[1] 32.00898
TamMuestrealCA1_CA3 <- (Z^2 * ( sd(lvl43_Length)^2 + sd(lvl51_Length)^2 )) / B^2
> TamMuestrealCA1_CA3
[1] 29.46843
TamMuestrealCA2_CA3 <- (Z^2 * ( sd(lvl50_Length)^2 + sd(lvl51_Length)^2 )) / B^2
> TamMuestrealCA2_CA3
[1] 31.00149
References
Royston, P. 1992. Approximating the Shapiro-Wilk W-test for non-normality. Statistics and computing 2: 117-119. doi: https://doi.org/10.1007/BF01891203
Wilk, M.B.; Gnanadesikan, R. 1968. Probability plotting methods for the analysis of data, Biometrika, Biometrika Trust 55 (1): 1-17. doi: https://doi.org/10.1093/biomet/55.1.1

